Today morning when I woke up, I was browsing internet for some information. Suddenly I browse through someone blog and thought to write something and create my first blog. Then I realised that I should have done such blogging long back since I know internet and blogs from last ten years. That is how this particular blog or post got started.
I started thinking about the topic to write for. 2-3 topics came to mind but I decided to write about social trade work since I was actually thinking to write about it from quite some time. I browsed how to create a free blog(obviously don't want to pay money) and found this site on top.(Thanks to Google). I opened the portal and some some auto login using google account, it created my account.
It was a tough time to get the URL for my blog because every address I was selecting was taken. I tried for 15 minutes to get the relevant name but failed. Got frustrated and decided to get any name since I was more focused on writing something. That is why you will observer the URL in your address bar has nothing to do with the blog subject. :)
Lets come to main point which I am going to write here. I would tell you
1. How Social trade works?
2. How you Get paid?
3.Why I joined Social Trade?
4. What are the chances to get your investment back?
What is Social Trade :
What the company says and how it works is available @ https://www.socialtrade.biz/faq.aspx
I actually don't know much about the company. I had been to their office once and read about them only via some links etc and some talks with my friends etc. They do a MLM(Multi Level Marketing) business like many other company say Amway, Bitcoin, Speak Asia etc.
You to take one of their plan starting from Rs 5750 to Rs 57500 including tax ( i.e what they say, don't know if they have paid the tax ever). The validity of plan is 1 year. Based on their plan selected,you will get some daily links to click. Click the links on daily basis and you will get paid. It is easy with not much effort. Note that they also give you holidays,(weekend and public holidays there is no work :). Isn't that cool, where we get such facilities( they give you holidays without fail), so effectively you will have to work 20-21 days per month after removing all weekends and assuming 1 public holiday per month.
How you Get Paid :
There are two ways the get your investment back. One is the payment by daily task and other is by promotional income. Let's understand by below example by assuming that you have taken a plan of Rs 5750 which include Rs750 service tax. Assuming me I have taken a plan of Rs 5000 and with sponsor id 61072708
With this plan you you get 10 links/day to click. Each click will give Rs 5. So your daily income is 10*5= Rs 50. On this Rs 50, they will deduct 10% TDS and 5% admin charges. So effectively you will get Rs 42.41 per day. Now assuming 22 working days per month, you effective monthly income is 42.41*22=Rs 933.02 and yearly income is 933.02*12=Rs 11196.24.
Now started the concept of MLM which actually increase your return very fast. MLM is nothing but to add more people in this game, i.e. to create a network by asking your friends, relatives or anyone on this planet to join this business. That means you have to create a binary tree. For those who are not aware, please check https://en.wikipedia.org/wiki/Binary_tree
First way to increase your daily income to apply booster on your plan. A booster is nothing but to add at least two people in your network within 20 days using your sponsor id ( 61072708 in this case). If you have added two people(one left and one right in your tree) within 20 days, then your daily links will be doubled. That means, your annual income will be 11196.24*2=Rs 22392.48. Wow, that's very tempting. Isn't ? If you are unable to add two people in your tree within 20 days, your booster is finished. You can't double your task now.
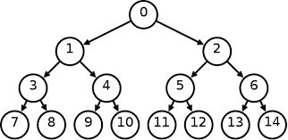
As soon as you tree start growing, you will get promotional income. For promotional income, it is mandatory to add two people(one left and one right) using your sponsor id. Now, as the tree grows, you will get 8% of basic plan value. Previously it was 10%. It may be confusing for some people, but let me try to make it more clear with this below picture
I started thinking about the topic to write for. 2-3 topics came to mind but I decided to write about social trade work since I was actually thinking to write about it from quite some time. I browsed how to create a free blog(obviously don't want to pay money) and found this site on top.(Thanks to Google). I opened the portal and some some auto login using google account, it created my account.
It was a tough time to get the URL for my blog because every address I was selecting was taken. I tried for 15 minutes to get the relevant name but failed. Got frustrated and decided to get any name since I was more focused on writing something. That is why you will observer the URL in your address bar has nothing to do with the blog subject. :)
Lets come to main point which I am going to write here. I would tell you
1. How Social trade works?
2. How you Get paid?
3.Why I joined Social Trade?
4. What are the chances to get your investment back?
What is Social Trade :
What the company says and how it works is available @ https://www.socialtrade.biz/faq.aspx
I actually don't know much about the company. I had been to their office once and read about them only via some links etc and some talks with my friends etc. They do a MLM(Multi Level Marketing) business like many other company say Amway, Bitcoin, Speak Asia etc.
You to take one of their plan starting from Rs 5750 to Rs 57500 including tax ( i.e what they say, don't know if they have paid the tax ever). The validity of plan is 1 year. Based on their plan selected,you will get some daily links to click. Click the links on daily basis and you will get paid. It is easy with not much effort. Note that they also give you holidays,(weekend and public holidays there is no work :). Isn't that cool, where we get such facilities( they give you holidays without fail), so effectively you will have to work 20-21 days per month after removing all weekends and assuming 1 public holiday per month.
How you Get Paid :
There are two ways the get your investment back. One is the payment by daily task and other is by promotional income. Let's understand by below example by assuming that you have taken a plan of Rs 5750 which include Rs750 service tax. Assuming me I have taken a plan of Rs 5000 and with sponsor id 61072708
With this plan you you get 10 links/day to click. Each click will give Rs 5. So your daily income is 10*5= Rs 50. On this Rs 50, they will deduct 10% TDS and 5% admin charges. So effectively you will get Rs 42.41 per day. Now assuming 22 working days per month, you effective monthly income is 42.41*22=Rs 933.02 and yearly income is 933.02*12=Rs 11196.24.
Now started the concept of MLM which actually increase your return very fast. MLM is nothing but to add more people in this game, i.e. to create a network by asking your friends, relatives or anyone on this planet to join this business. That means you have to create a binary tree. For those who are not aware, please check https://en.wikipedia.org/wiki/Binary_tree
First way to increase your daily income to apply booster on your plan. A booster is nothing but to add at least two people in your network within 20 days using your sponsor id ( 61072708 in this case). If you have added two people(one left and one right in your tree) within 20 days, then your daily links will be doubled. That means, your annual income will be 11196.24*2=Rs 22392.48. Wow, that's very tempting. Isn't ? If you are unable to add two people in your tree within 20 days, your booster is finished. You can't double your task now.
As soon as you tree start growing, you will get promotional income. For promotional income, it is mandatory to add two people(one left and one right) using your sponsor id. Now, as the tree grows, you will get 8% of basic plan value. Previously it was 10%. It may be confusing for some people, but let me try to make it more clear with this below picture
Suppose you are at Position 0. You have to add people at Position 1 and Position 2 with your sponsor id. So your tree first level is complete. If you have done this within 20 days, you are eligible for booster. For promotional income you can add anytime during your tenure. Suppose the people at Position 1 and Position 2 taken a plan of Rs 5750. Since your left and right is balanced, you will get 8% of your plan value i.e 8% of Rs 5000 = Rs 400 ( in this, there will be a deduction of 5% TDS and 5% admin charges). As soon as your tree grows and balanced, you will get the promotional income.
Consider this as weighing scale, whenever it is balanced, you will get 8% of balancing amount. More the people in your network, more the money you are getting. that is how MLM works.
Why and How I joined Social Trade Business:
Well, personally I don't like such business plans. Many of my friends has approached me in past for plans like amway, qwest etc. But it was always a big No from my side. One day while I was working, one of my colleague came to me and started telling me about Social Trade. I was listening carefully to him ( as it was my hobby :P) and after he finished, I said No, I am not interested. Since he was suggesting me to invest Rs 57500, so clearly make up mind not to give my hard earned money( 50k +) to someone I don't know. Well a week passed and I told my brother in law about the plan and he was very excited about the plan ( He again a very educated person working with one of the top IT company). He keep chasing and forcing me to join the plan because he had some prior experience of such things( good or bad, that I don't know). I said No again to him. But he continues to keep pushing me. Well I said that I will give a thought. I told him that all there are fraud companies and I can't add people in this network etc etc. There are many questions came to mind like your investment is doubled within a year, How it is possible? Even the banks give 8% in FD. What types of links are they? How company is earning by getting the link clicked? etc etc
Being a IT guy, I started thinking about their revenue mode. The benefit company is getting by getting the links clicked is generating a traffic on some websites. We know today is the world of advertisement and company like google, amazon etc also pay a lot of money if you host their add banner on your website. Similarly if they are generating traffic on some website, there is a good chance of earning money. Second, the interest on amount people are giving to them. But I was still not very much convinced and not ready to take risk.
Actually, I realised that service class people can't take risk. They can spend Rs 5000-10000 in buying a branded shoes, shirts, they can eat pizza of Rs 5000 in month but they can't give even a single paisa to a needy.They can't even take risk of starting their business by leaving their job although they wish to have lot of money.
So there were many thoughts roaming in my mind but then I decide to give a try by investing Rs 5000. I don't know whether the company is real or fraud but why should I always think negative. It may be possible that company is actually genuine doing the business. So i decided to take the risk of Rs 5000 because it is not such a big money. Even if I loose them, it will not put halt on my life.
It took me 2 months to get this courage. My friend told me about this in June 16 and I joined this in Aug 16. But it was OK for me to take such time since I invested the money with a thinking that I have already lost it. So I was not at all worried whether I will get my money back or not. But that doesn't mean I will not try to get it back.
Luckily, I get my booster and also few people added into my network. Thanks to everyone who joined below me. I recovered my money within a month, till today when I am writing this block, I have already doubled my investment. So, I must say that I am lucky :)
Good thing is that my payment is never delayed. Getting all the payment on time.
What are chance of getting your investment back:
For me I have got more than what I invested. But I would say it is worth risk taking. I suggest not to invest higher amount since I am still not very much convinced about their business plans though I met some people who have invested lakhs in this business and earned also. But if you are in a position of taking higher risk and more importantly you are convinced, go ahead.
Business never guarantees a sure return and profit. It is your effort and destiny that tells the future.
Wish you good luck, if you are already doing this or you have planned to join this business after reading this block.
I would also thanks to people who have decide not to do this business after this blog because my writing at least helped them in taking the decision.
Thanks again for reading my blog. I would love to hear your comments. You can also write to me saurabh1484@gmail.com
Thanks,
Saurabh
